Lompat ke konten Lompat ke sidebar Lompat ke footer

Contoh Matriks Eselon Tereduksi / 4 Matriks Kesamaan Matriks Jenis Matriks Transpose Matriks : Matriks eselon tereduksi suatu matriks bisa disebut matriks eselon tereduksi jika memenuhi syarat berikut:

Contoh Matriks Eselon Tereduksi / 4 Matriks Kesamaan Matriks Jenis Matriks Transpose Matriks : Matriks eselon tereduksi suatu matriks bisa disebut matriks eselon tereduksi jika memenuhi syarat berikut:. Tetapi kondisi di atas membatasi kemungkinan memiliki kolom dengan nilai kecuali 1 dan nol. Tetapi kondisi di atas membatasi kemungkinan memiliki kolom dengan nilai kecuali 1 dan nol. Matriks eselon tereduksi suatu matriks bisa disebut matriks eselon tereduksi jika memenuhi syarat berikut: Kita akan mengubah matriks berikut ke dalam bentuk eselon baris.$$\begin{bmatrix}2&4&0\\0&0&0\\3&4&2\end{bmatrix}$$ langkah 1. Soal cerita matriks ordo 2x2 / kumpulan contoh soal contoh soal determinan matriks ordo 2×2 / salah satu bentuk operasi yang sering dijadikan soal atau pertanyaan dalam ujian nasional pada materi matriks adalah operasi invers.

Beberapa istilahnya sudah sering kita dengar sebelumnya, seperti matriks augmentasi (matriks yang diperlebar), matriks eselon baris, dan matriks eselon baris tereduksi. Elemen pertama yang bukan nol pada baris di bawahnya harus di sebelah kanan 1. Matriks eselon baris tereduksi adalah sebuah bentuk matriks eselon baris yang lebih disederhanakan yang bertujuan agar lebih mudah dalam pencarian pemecahan (solusi) dari suatu sistem persamaan. Bentuk eselon baris dan eseolon baris tereduksi. Sebelum lanjut ke contoh soalnya, ada baiknya jika kita ketahui terlebih dahulu pengertian dari matriks.

Bentuk Eselon Baris Dan Eselon Baris Tereduksi
Bentuk Eselon Baris Dan Eselon Baris Tereduksi from jagostat.com
Misalnya, berikut ini juga dalam bentuk eselon baris tereduksi. Mukadimah heyyo, kali ini ane ingin share perbedaan matriks eselon dan matriks eselon tereduksi. Setelah membahas eliminasi gauss & gauss jordan 3x3, kali ini saya akan menjelaskan eliminasi gauss dan gauss jordan untuk sistem persamaan linear (spl) 4 variabel. Misalnya, berikut ini juga dalam bentuk eselon baris tereduksi. Jika baris tidak terdiri seluruhnya dari nol, maka bilangan tak nol pertama dalam baris tersebut adalah 1. Jika ada baris yang semua elemennya nol, maka harus dikelompokkan di baris akhir dari matriks. Contoh soal matriks eselon baris tereduksi. Bila ada baris yang tak semua nol, maka elemen pertama yang bukan nol harus bilangan 1.

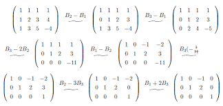
Kita akan mengubah matriks di atas ke dalam bentuk eselon baris ( obe ).

Hallo guys, saat ini saya ingin menyajikan materi tentang matrik eselon baris tereduksi, yaitu suatu matrik mxn yang mempunyai aturan khusus. Saat ini ane lagi kuliah online di universitas yang memang kuliahnya hanya online. Pada video kali ini pokok. Matrikseselon •matriks eselon (atau bentuk eselon baris) adalah matriks yang memiliki 1 utama pada setiap baris, kecuali baris yang seluruhnya nol. Kita akan mengubah matriks di atas ke dalam bentuk eselon baris ( obe ). Oleh maya safitri diposting pada juli 11, 2021. Baris pertama disebut dengan leading 1 syarat 2: Jika baris tidak terdiri seluruhnya dari nol, maka bilangan tak nol pertama dalam baris tersebut adalah 1. Di setiap baris, angka pertama selain 0 harus 1 (leading 1). Misalkan suatu matriks yang diperbesar dari suatu spl, telah direduksi melalui operasi baris menjadi bentuk eselon baris tereduksi berikut ini. Matriks eselon baris tereduksi adalah sebuah bentuk matriks eselon baris yang lebih disederhanakan yang bertujuan agar lebih mudah dalam pencarian pemecahan (solusi) dari suatu sistem persamaan. Aturan khusus itu adalah sebagai berikut : Perbedaan esselon baris dan esselon baris tereduksi.

Kita akan mengubah matriks di atas ke dalam bentuk eselon baris ( obe ). Kolom pertama adalah kolom paling kiri yang tidak seluruhnya. Tetapi kondisi di atas membatasi kemungkinan memiliki kolom dengan nilai kecuali 1 dan nol. Hallo guys, saat ini saya ingin menyajikan materi tentang matrik eselon baris tereduksi, yaitu suatu matrik mxn yang mempunyai aturan khusus. Prosedur ini dihentikan setelah matriks berada dalam bentuk eselon baris.

Perbedaan Matriks Eselon Dan Matriks Eselon Tereduksi
Perbedaan Matriks Eselon Dan Matriks Eselon Tereduksi from 1.bp.blogspot.com
Matriks dalam bentuk tersebut dikatakan dalam bentuk eselon baris tereduksi. · jika ada baris yang semua elemennya nol, maka harus dikelompokkan di baris akhir dari matriks. Aturan khusus itu adalah sebagai berikut : Dengan contoh 1.2.3, lanjutkan obenya sedemikian hingga matriksnya berbentuk baris eselon tereduksi, yaitu. Setelah terbentuk baris eselon tereduksi, kembalikan matriks tersebut dalam bentuk sistem linear dan ditemukan kemudian lakukan substitusi balik mulai dari bawah. Pada baris yang berisi angka tak nol, angka tak nol yang paling kiri harus angka 1 2. Misalnya, berikut ini juga dalam bentuk eselon baris tereduksi. Pada baris yang berisi angka tak nol, angka tak nol yang paling kiri harus angka 1.

Agar mencapai bentuk eselon baris tereduksi diperlukan 4 sifat yang terdiri 3 sifat bentuk eselon baris dan 1 sifat khusus.

Setelah terbentuk baris eselon tereduksi, kembalikan matriks tersebut dalam bentuk sistem linear dan ditemukan kemudian lakukan substitusi balik mulai dari bawah. Agar mencapai bentuk eselon baris tereduksi diperlukan 4 sifat yang terdiri 3 sifat bentuk eselon baris dan 1 sifat khusus. Hallo guys, saat ini saya ingin menyajikan materi tentang matrik eselon baris tereduksi, yaitu suatu matrik mxn yang mempunyai aturan khusus. Prosedur ini dihentikan setelah matriks berada dalam bentuk eselon baris. Jika baris tidak terdiri seluruhnya dari nol, maka bilangan tak nol pertama dalam baris tersebut adalah 1. Matrik eselon baris tereduksi 3.ppt from bio 1 at university of brawijaya. Agar mencapai bentuk eselon baris tereduksi diperlukan 4 sifat yang terdiri 3 sifat bentuk eselon baris dan 1 sifat khusus. Pada baris yang berisi angka tak nol, angka tak nol yang paling kiri harus angka 1 2. Aturan khusus itu adalah sebagai berikut : Saat ini ane lagi kuliah online di universitas yang memang kuliahnya hanya online. Kita akan mengubah matriks di atas ke dalam bentuk eselon baris ( obe ). » » » » ¼ º « « « « ¬ ª 0 0 0 0 0 0 0 1 0 0 1 * Sebelum lanjut ke contoh soalnya, ada baiknya jika kita ketahui terlebih dahulu pengertian dari matriks.

Jika ada baris yang semua elemennya nol, maka harus dikelompokkan di baris akhir dari matriks. Saat ini ane lagi kuliah online di universitas yang memang kuliahnya hanya online. Sebelum lanjut ke contoh soalnya, ada baiknya jika kita ketahui terlebih dahulu pengertian dari matriks. Pada baris selanjutnya yang berisi angka tak nol, angka tak nol yang paling kiri harus angka 1, namun lebih kekanan dari baris selebelumnya. Contoh soal matriks eselon tereduksi.

Bentuk Eselon Baris Dan Eselon Baris Tereduksi
Bentuk Eselon Baris Dan Eselon Baris Tereduksi from jagostat.com
A11 x1 a12 x2 a1n xn b1 a21x1 a22 x2 a2n xn b2 am1x1 am 2 Matrikseselon •matriks eselon (atau bentuk eselon baris) adalah matriks yang memiliki 1 utama pada setiap baris, kecuali baris yang seluruhnya nol. Soal cerita matriks ordo 2x2 / kumpulan contoh soal contoh soal determinan matriks ordo 2×2 / salah satu bentuk operasi yang sering dijadikan soal atau pertanyaan dalam ujian nasional pada materi matriks adalah operasi invers. Prosedur ini dihentikan setelah matriks berada dalam bentuk eselon baris. Pada baris yang berisi angka tak nol, angka tak nol yang paling kiri harus angka 1 2. Di setiap baris, angka pertama selain 0 harus 1 (leading 1). Misalkan suatu matriks yang diperbesar dari suatu spl, telah direduksi melalui operasi baris menjadi bentuk eselon baris tereduksi berikut ini. Hasilnya lebih sederhanacaranya adalah dengan meneruskan operasi baris dari eliminasi gauss sehingga menghasilkan matriks yang eselon baris tereduksiini juga dapat digunakan sebagai salah satu metode penyelesaian persamaan linear dengan menggunakan.

O soal no2 matriks matriks 3 x 3 yang berbentuk baris eselon.

Pada baris selanjutnya yang berisi angka tak nol, angka tak nol yang paling kiri harus angka 1, namun lebih kekanan dari baris selebelumnya. Contoh soal matriks eselon baris tereduksi. Sebelum lanjut ke contoh soalnya, ada baiknya jika kita ketahui terlebih dahulu pengertian dari matriks. Tetapi kondisi di atas membatasi kemungkinan memiliki kolom dengan nilai kecuali 1 dan nol. Pada video kali ini pokok. Setelah terbentuk baris eselon tereduksi, kembalikan matriks tersebut dalam bentuk sistem linear dan ditemukan kemudian lakukan substitusi balik mulai dari bawah. A11 x1 a12 x2 a1n xn b1 a21x1 a22 x2 a2n xn b2 am1x1 am 2 Menghitung determinan dengan reduksi baris mencari determinan dari suatu matriks dengan reduksi baris adalah dengan membawa matriks awal ke bentuk matriks segitiga atas sehingga memudahkan perhitungan. » » » » ¼ º « « « « ¬ ª 0 0 0 0 0 0 0 1 0 0 1 * Prosedur ini dihentikan setelah matriks berada dalam bentuk eselon baris. Misalkan suatu matriks yang diperbesar dari suatu spl, telah direduksi melalui operasi baris menjadi bentuk eselon baris tereduksi berikut ini. Matriks eselon tereduksi suatu matriks bisa disebut matriks eselon tereduksi jika memenuhi syarat berikut: Misalnya, berikut ini juga dalam bentuk eselon baris tereduksi.

Posting Komentar untuk "Contoh Matriks Eselon Tereduksi / 4 Matriks Kesamaan Matriks Jenis Matriks Transpose Matriks : Matriks eselon tereduksi suatu matriks bisa disebut matriks eselon tereduksi jika memenuhi syarat berikut:"